首页
部门概况
规章制度
工作动态
教务管理
教学建设
专业建设
课程建设
文件下载
幼专官网
当前位置:
首页
>>
工作动态
>>
通知公告
>>
正文
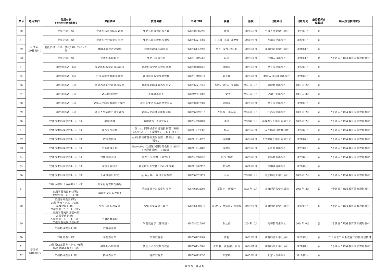
贵阳幼儿师范高等专科学校2025-2026学年第二学期拟选用教材教辅的公示
来源:
作者:
编辑:
教务处
日期:
2025-12-24
点击率:
356
[我要打印]
[关闭]
摘要:
引题:
关键字:
作者:
编辑:
教务处
上一篇:
关于我校开展2026年青年教师教学竞赛的通知
下一篇:
关于我校2016届毕业生石素珍毕业证遗失的公告
网站管理
Copyright©贵阳幼儿师范高等专科学校教务处