首页
部门概况
规章制度
工作动态
教务管理
教学建设
专业建设
课程建设
文件下载
幼专官网
当前位置:
首页
>>
工作动态
>>
通知公告
>>
正文
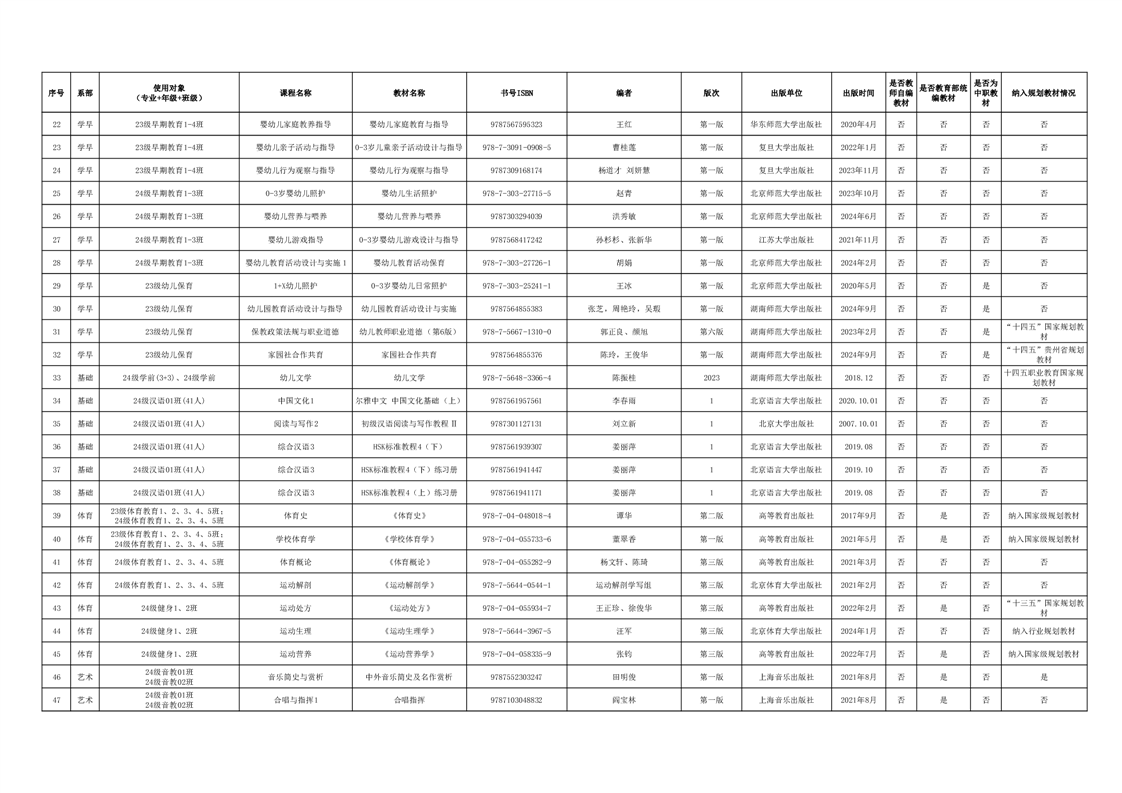
贵阳幼儿师范高等专科学校 2025-2026 学年第一学期(第一批) 教材选用结果公示
来源:
作者:
教务处
编辑:
教务处
日期:
2025-07-03
点击率:
253
[我要打印]
[关闭]
摘要:
引题:
关键字:
作者:
教务处
编辑:
教务处
上一篇:
关于我校2020届毕业生周颖毕业证遗失的公告
下一篇:
贵阳幼儿师范高等专科学校 2025-2026 学年第一学期(第二批)教材选用结果公示
网站管理
Copyright©贵阳幼儿师范高等专科学校教务处